重要通知 | 教育部、国家语委主办“笔墨中国”·汉字书写大赛获拟奖名单公示!
作者: 来源: 发布时间:2020-11-06 19:41:59 点击:5311
“笔墨中国”汉字书写大赛
拟获奖名单公示
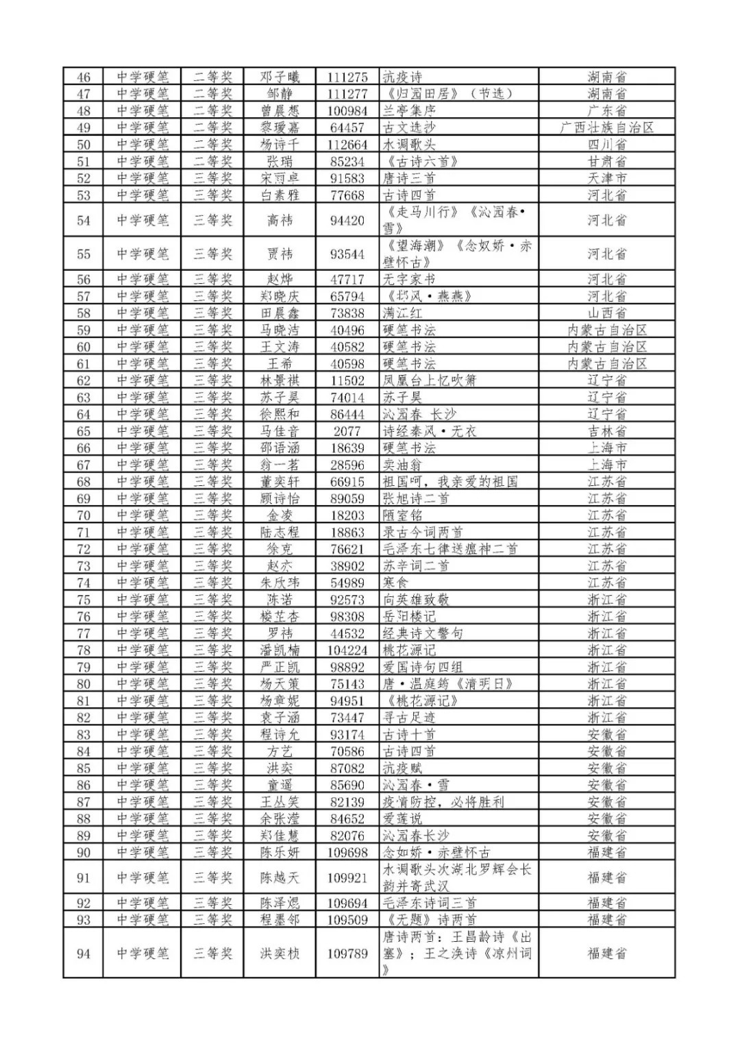
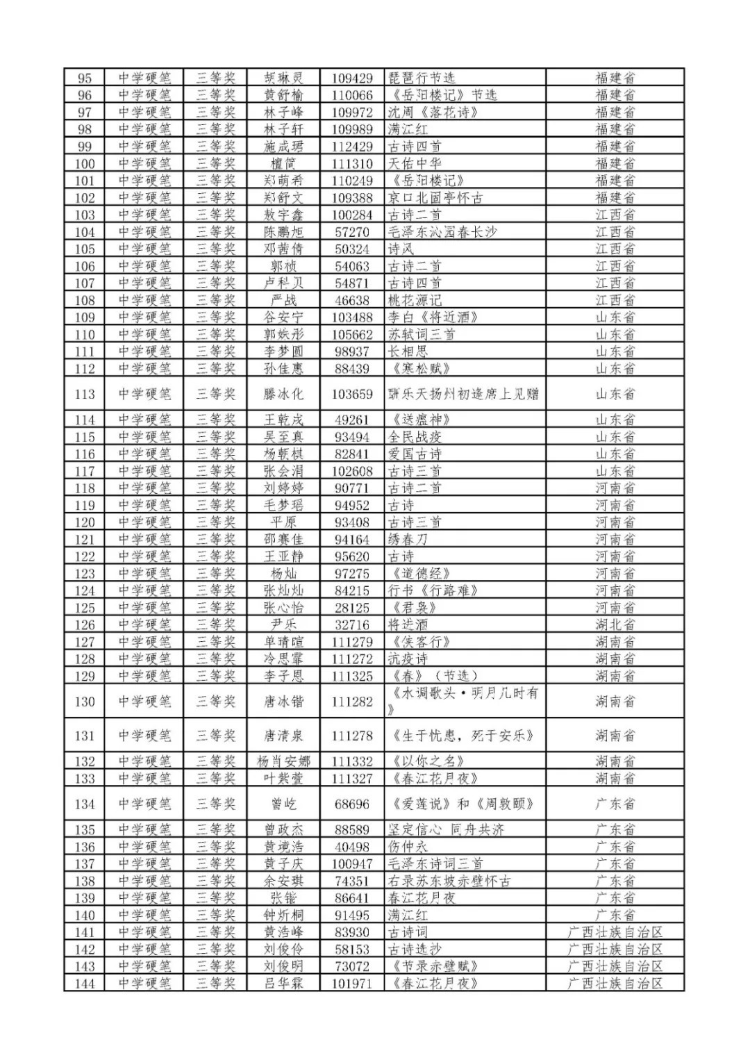
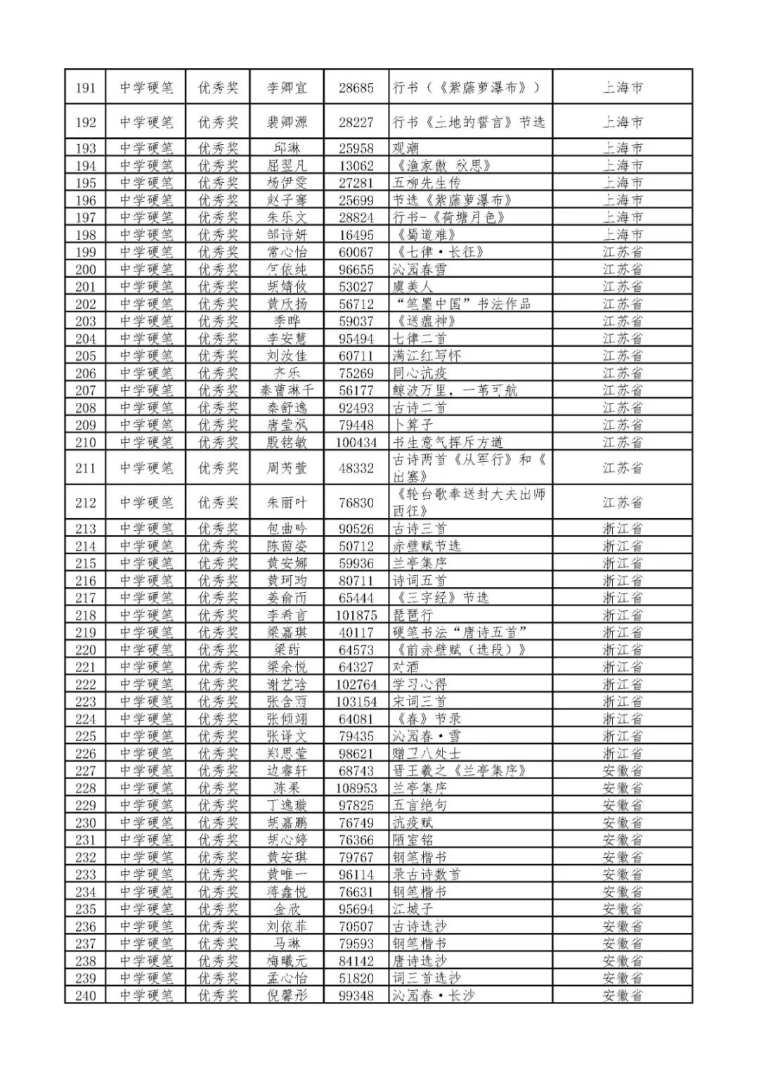
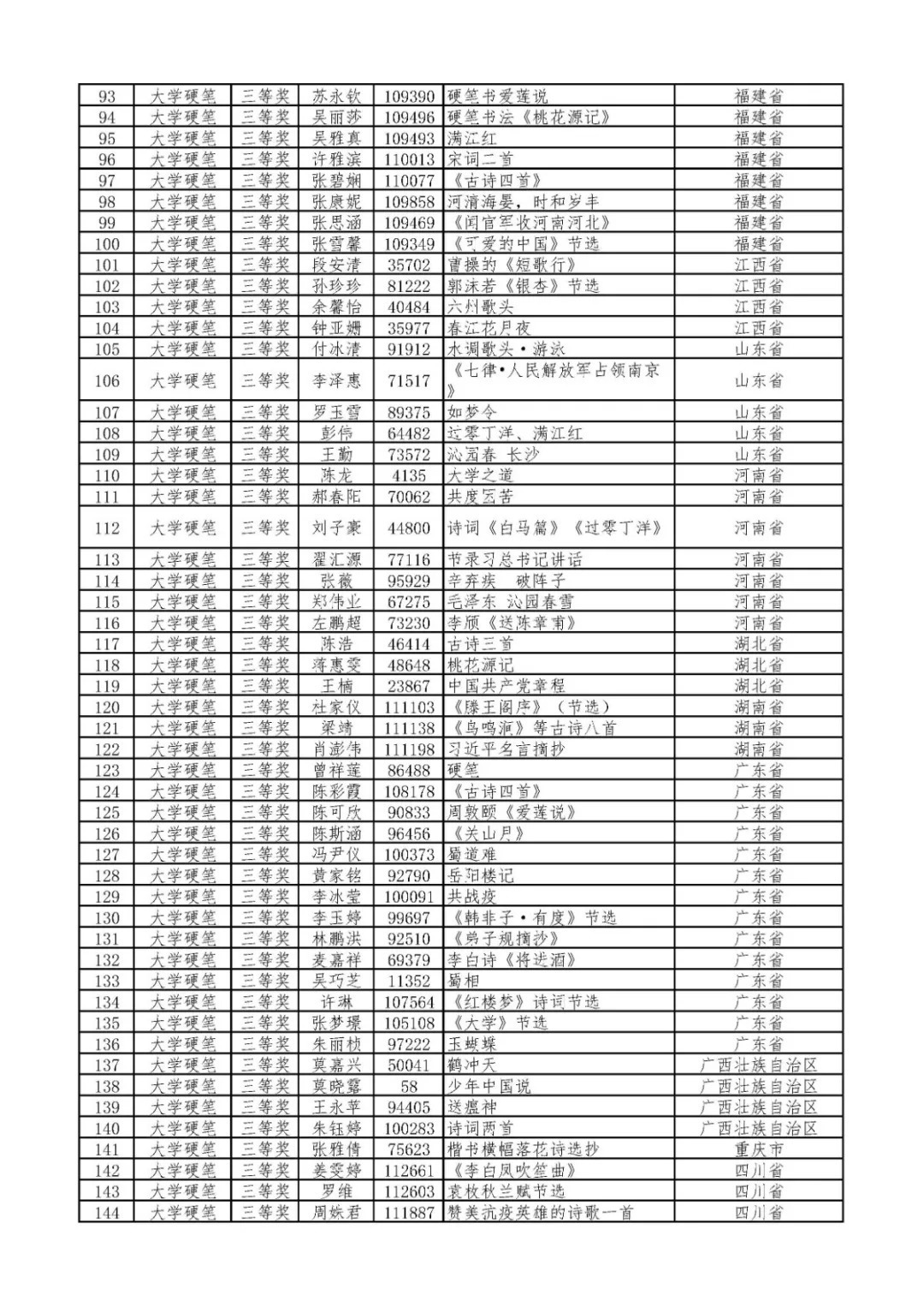
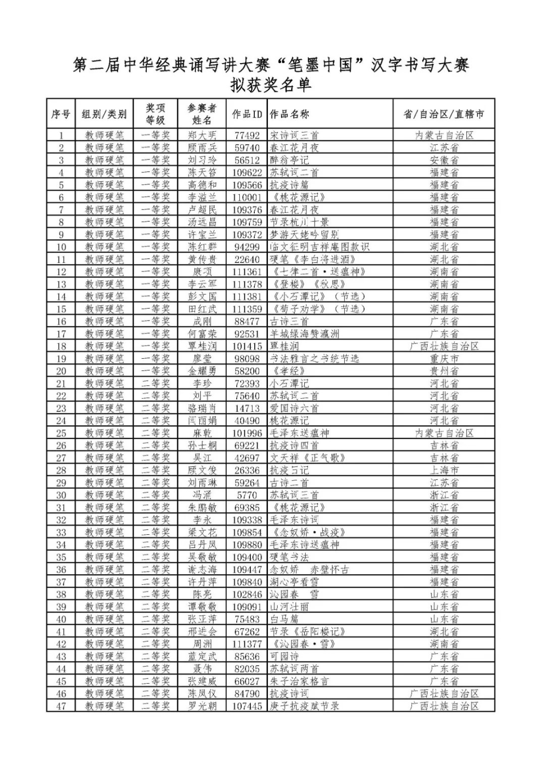
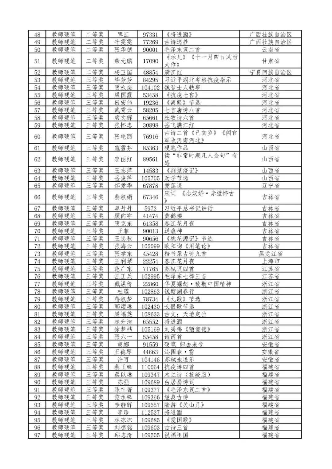
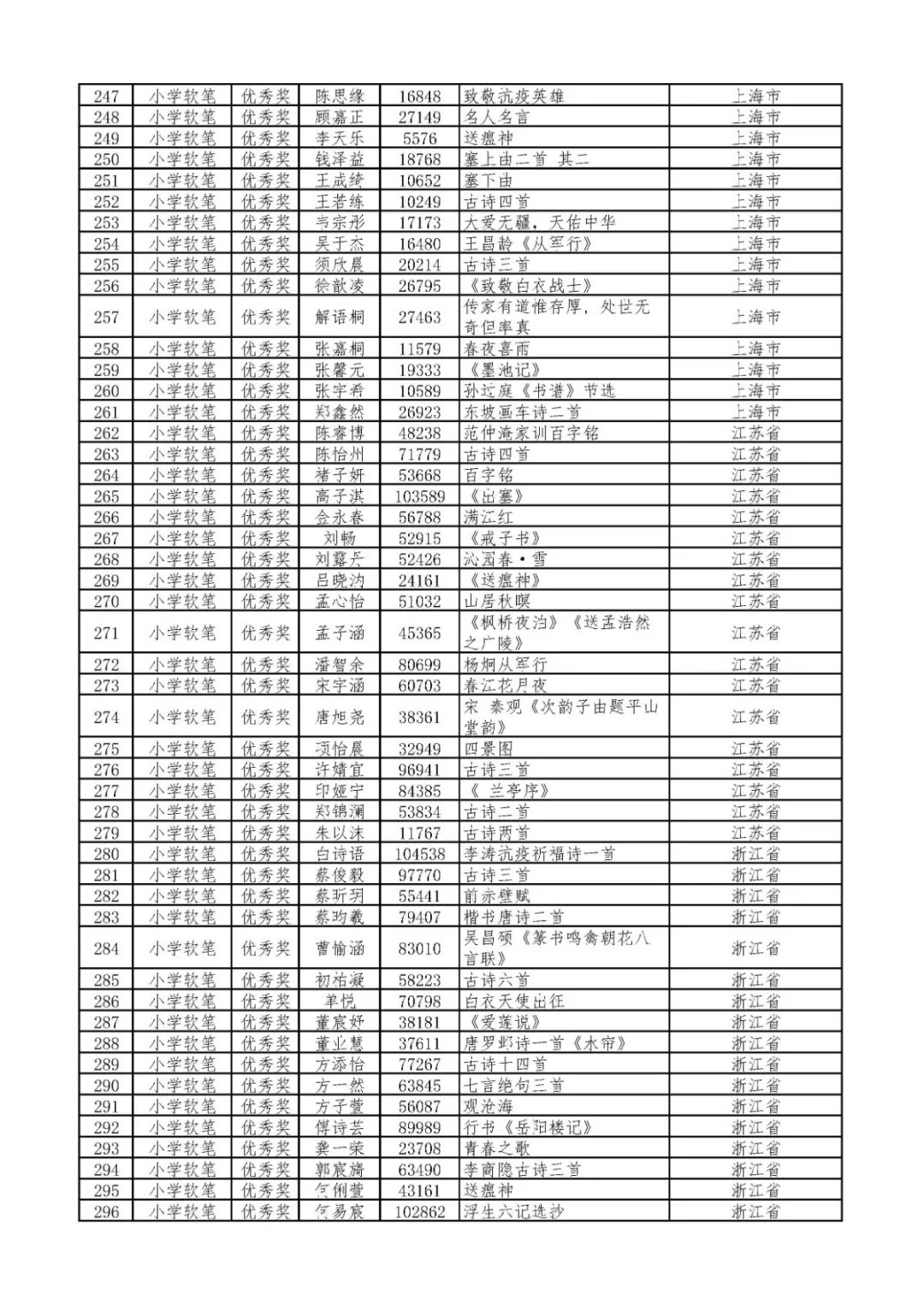
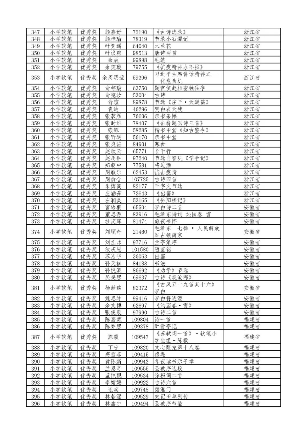
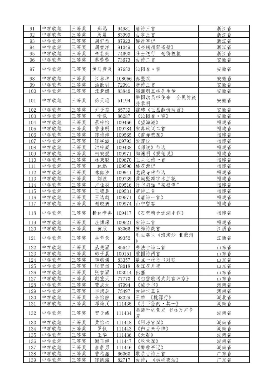
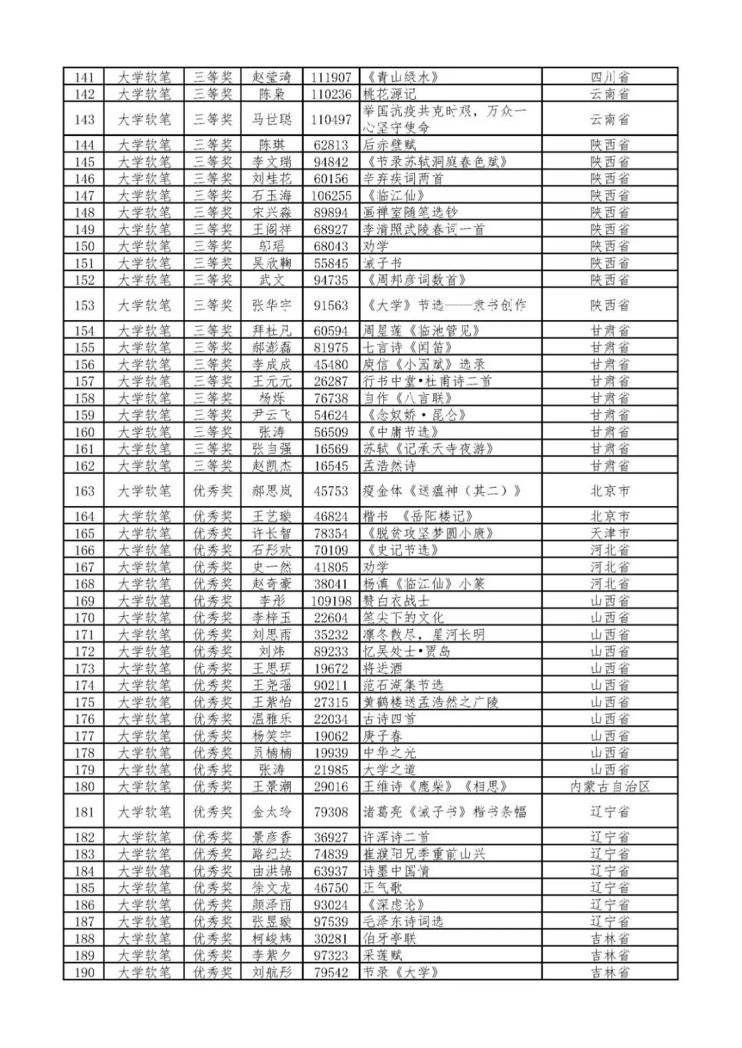
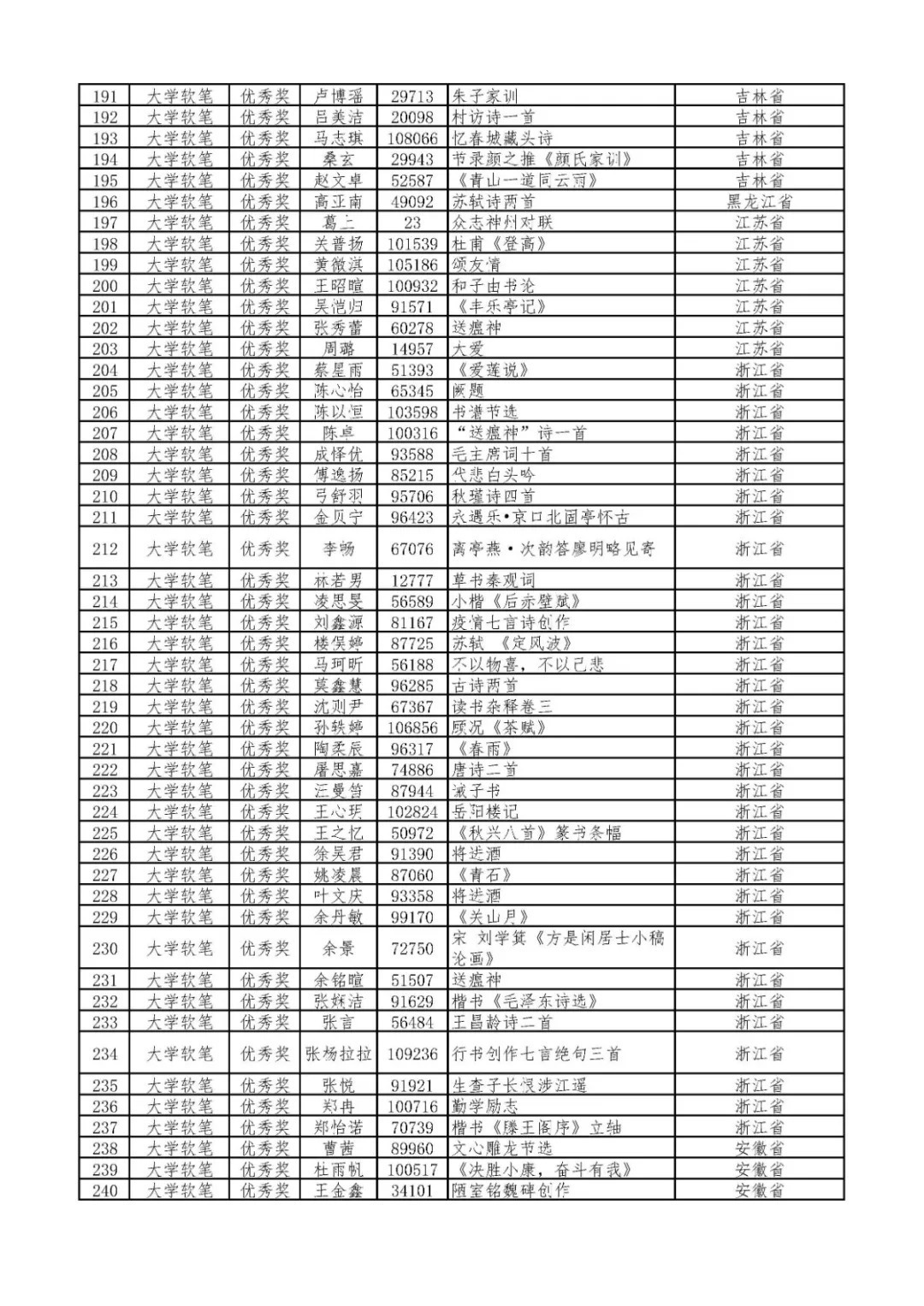
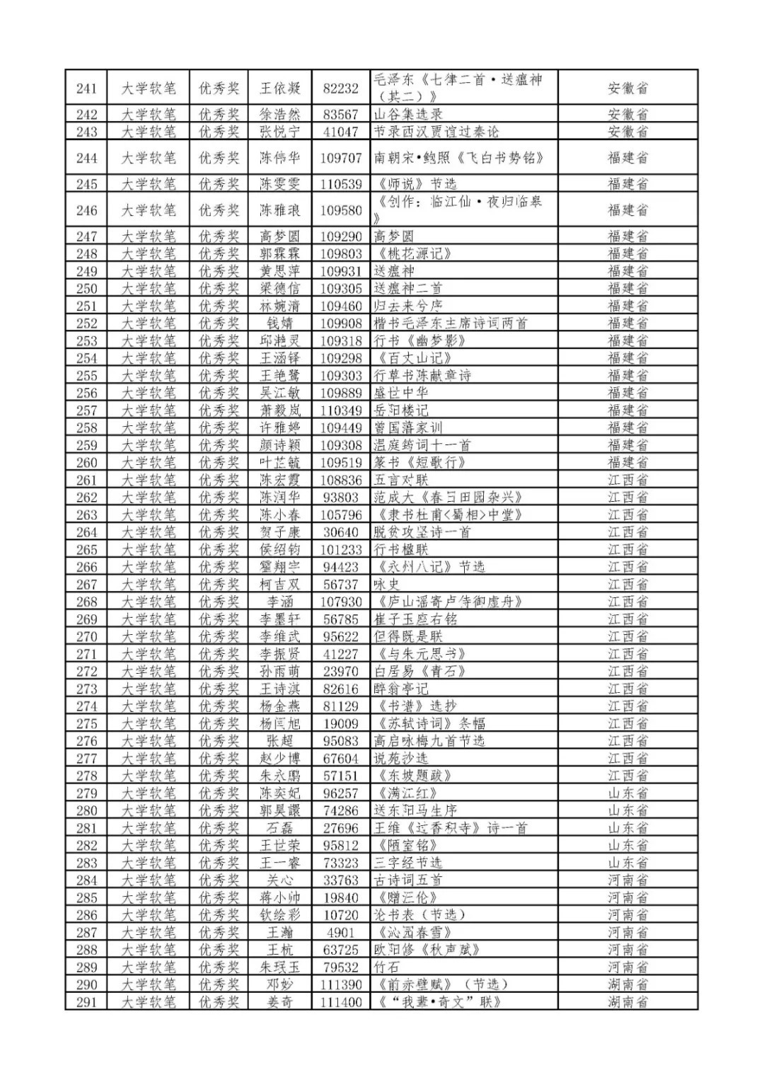
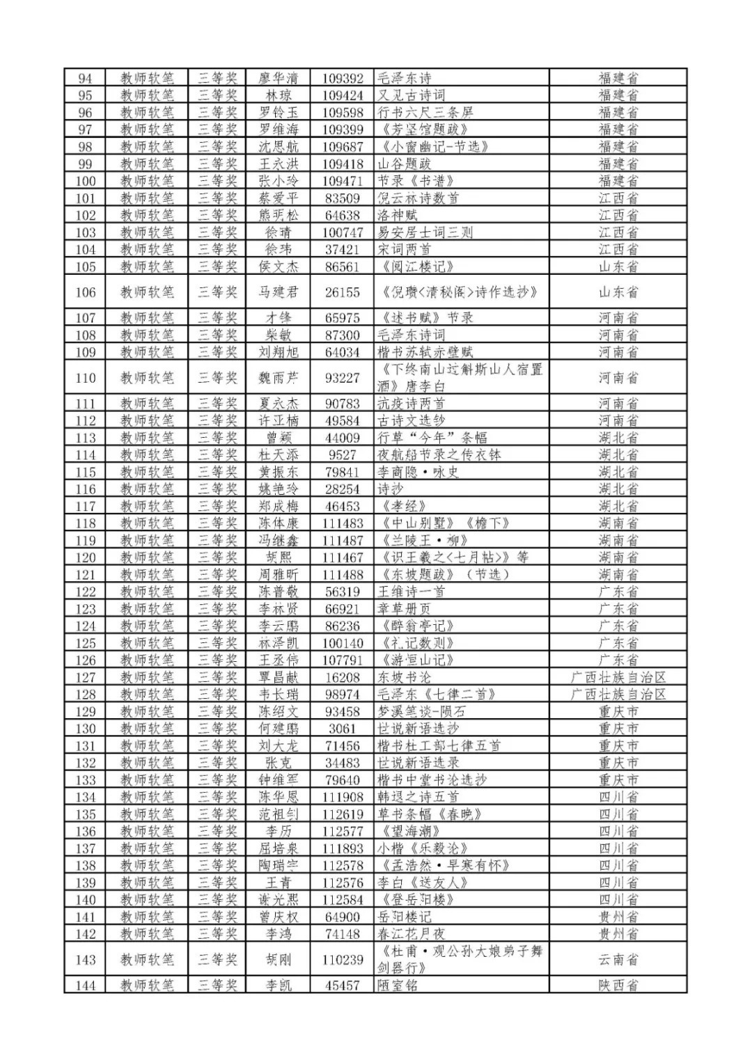
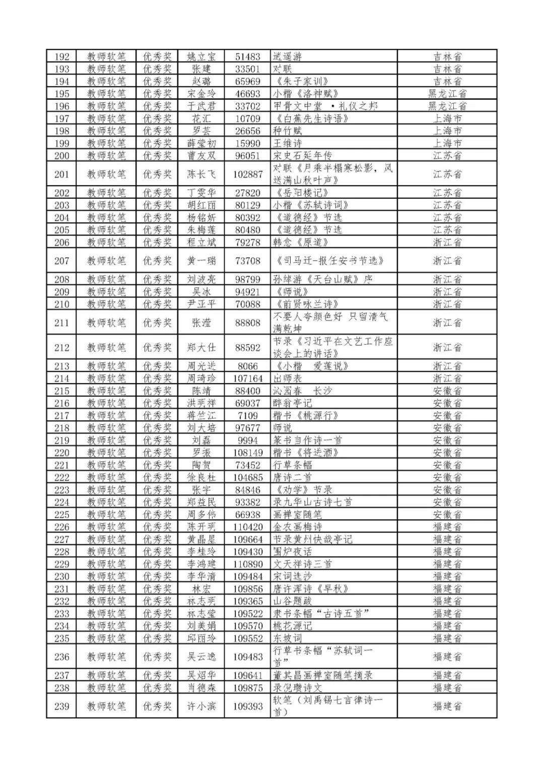
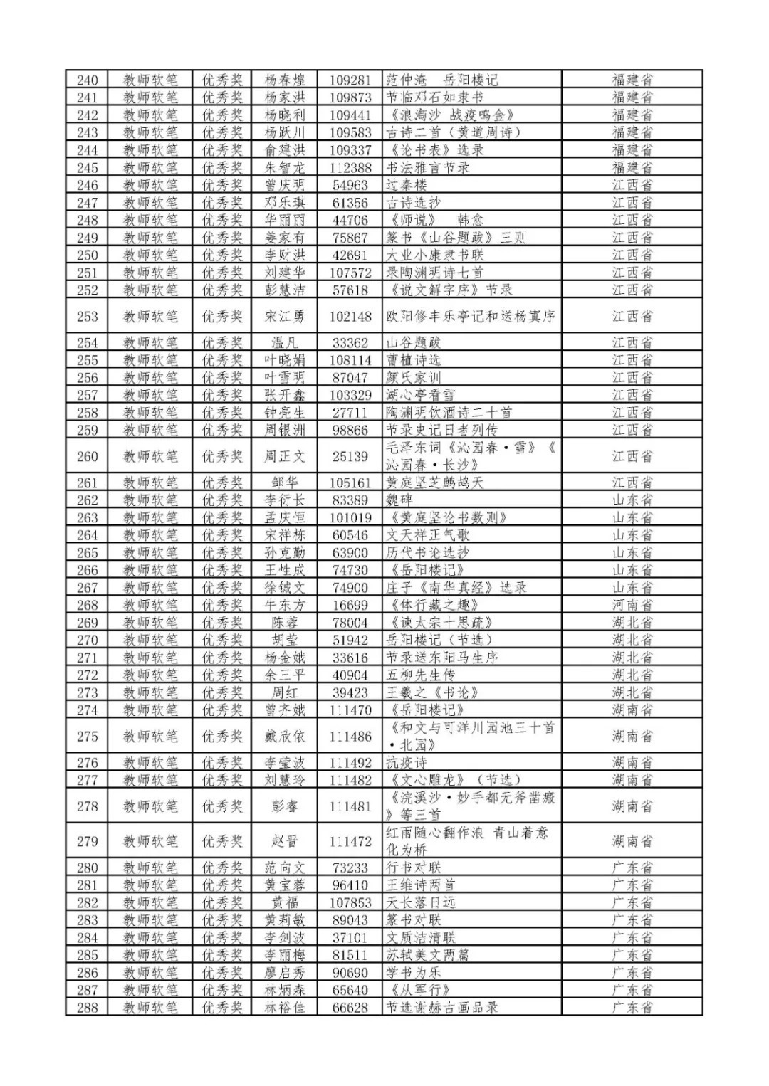
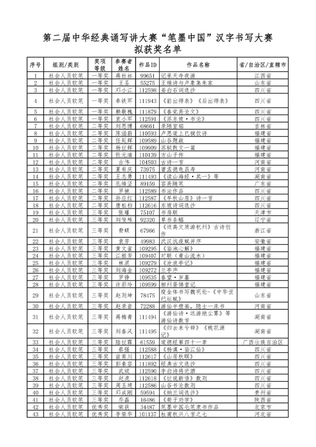
根据《教育部办公厅关于举办第二届中华经典诵写讲大赛的通知》(教语用厅函〔2020〕1号)精神,2020年5月10日至8月10日,“笔墨中国”汉字书写大赛完成了初赛作品征集,共收到参赛作品近12万件。9月-10月,经过初赛、决赛评审,共评选出硬笔类小学组、中学组、大学组、教师组、社会人员组;软笔类小学组、中学组、大学组、教师组、社会人员组共10个组别,总计3336件获奖作品,指导教师奖117名。现将获奖名单公示如下,公示期7天(11月6日—11月13日)。 公示期间接受举报,如经查实代笔或假借作品等问题的,将取消获奖资格。若对获奖名单有异议,请于11月13日16:30前,向赛事承办方实名反馈。反馈邮箱:bmzg@ywcbs.com。 特此公示。 第二届中华经典诵写讲大赛组委会 2020年11月6日
硬 笔











滑动查看更多,共11页
滑动查看更多,共8页 滑动查看更多,共8页 滑动查看更多,共8页 滑动查看更多,共3页 软 笔 滑动查看更多,共11页 滑动查看更多,共8页 滑动查看更多,共8页 滑动查看更多,共8页 滑动查看更多,共3页 指导奖 滑动查看更多,共3页





































































